Saturday, 6 October 2012
Home »
Calculus
,
integrations
,
NCERT solved answers
,
solved answers of mathematics of 12th class
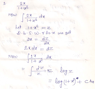
» Solved Questions of Exercise 7.2 of Class 12th Q. 1 and Q. 2
Solved Questions of Exercise 7.2 of Class 12th Q. 1 and Q. 2
03:18:00
No comments









0 comments:
Post a Comment